[Computer Science]/Data Structure

Graph

응파카 2023. 4. 22. 19:24

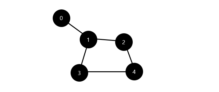
  • Graph는 Vertex(정점) 과 Edge(간선) 으로 이루어진 자료구조이다.

 

그래프 관련 용어

  • 차수(Degree) : 정점에 연결된 간선의 수
  • 인접(Adjacent) : 두 정점이 간선으로 연결되어 있는 상태
  • 경로(Path) : 한 정점에서 다른 정점으로 이어지는 간선의 연속
  • 사이클(Cycle) : 경로의 시작 정점과 끝 정점이 동일한 경우
  • 가중치(Weight) : 간선에 할당된 가중치 값을 의미한다
  • 최단 경로(Shortest Path) : 두 정점 사이의 가장 짧은 경로이다.
  • 컴포넌트(Component): 그래프에서 연결된 정점들의 집합을 의미한다. 무향 그래프에서 컴포넌트는 연결 요소(Connected Component)라고도 한다.
  • 이웃(Neighbor): 한 정점과 인접한 정점이다.
  • 강결합(Strongly Connected): 유향 그래프에서 모든 정점 쌍이 서로 도달 가능한 상태이다.
  • 약결합(Weakly Connected): 유향 그래프에서 무향 그래프와 같이 모든 정점 쌍이 서로 도달 가능한 상태이다.
  • 위상 정렬(Topological Sorting): 유향 그래프에서 모든 정점을 방향성에 따라 일렬로 나열하는 것을 의미한다.
    • 사이클이 존재하지 않아야 가능하다.
  • 완전 그래프(Complete Graph) : 모든 정점이 서로 연결되어 있는 그래프를 의미한다.
    • 정점이 n개일 때 간선의 수 = n(n-1)/2* 이다.

 

Directed Graph vs Undirected Graph

  • 방향성에 따라 방향 그래프와 무방향 그래프로 나뉜다.

 

Weighted Graph vs Unweighted Graph

  • 간선에 비용/가중치 할당 유무에 따라 가중치 그래프와 비가중치 그래프로 나뉜다.

 

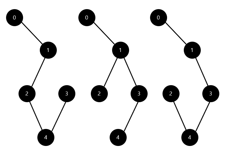
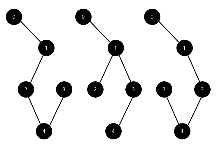
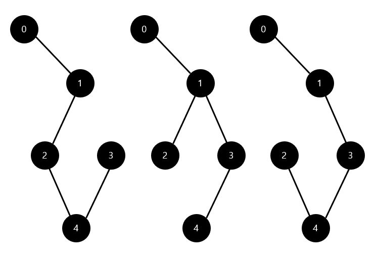
스패닝 트리(Spanning Tree)

  • 위 그림처럼 그래프의 모든 정점을 포함하면서 사이클이 존재하지 않는 부분 그래프를 의미한다.
  • 신장 트리라고도 하며, 그래프의 최소 연결 부분 그래프이다.
  • n개의 정점을 (n-1)개의 간선으로 연결한 상태이다.

 

그래프의 구현 방법

 

1. 인접 그래프(Adjacency Graph = Adjacent Matrix) 활용

  • 그래프의 정점과 간선을 2차원 배열로 나타내는 방법이다.
  • 장점
    • 그래프의 연결 관계를 2차원 배열로 표현하기 때문에 연결 관계를 빠르게 확인할 수 있다. O(1)의 시간복잡도로 확인 가능하다.
    • 각 정점의 차수를 쉽게 계산할 수 있다.
  • 단점
    • 정점의 개수가 많아지면 차지하는 메모리 공간이 크게 증가한다. (2차원 배열)
    • 특정 정점과 연결된 모든 노드를 찾으려면 해당 배열을 전부 탐색해야 하므로 O(N)의 시간복잡도를 갖는다.
  • 인접 그래프 생성
int[][] graph;

public AdjacencyMatrix(int size) {
    graph = new int[size][size];
}
  • 정점 연결
public void addEdge(int from, int to) {
    graph[from][to] = 1;
    graph[to][from] = 1; // 무향 그래프인 경우 반대 방향도 추가
}
  • 정점 삭제
public void removeEdge(int from, int to) {
    graph[from][to] = 0;
    graph[to][from] = 0; // 무향 그래프인 경우 반대 방향도 제거
}
  • 인접 그래프 출력
public void printGraph() {
    for (int i = 0; i < graph.length; i++) {
        for (int j = 0; j < graph[i].length; j++) {
            System.out.print(graph[i][j] + " ");
        }
        System.out.println();
    }
}

 

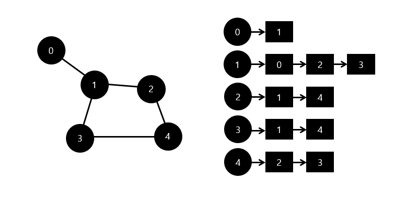
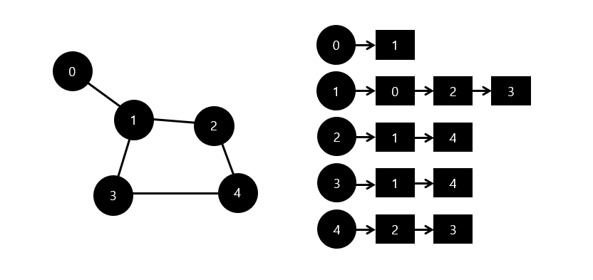
2. 인접 리스트(Adjacency List) 활용

  • 그래프의 각 정점에 대해 인접한 정점들을 리스트로 나타내는 방법이다.
  • 장점
    • 정점의 연결 정보만을 저장하기 때문에, 정점의 개수가 많아질 경우 인접 그래프 방식보다 더 적은 메모리 공간을 차지한다.
    • 특정 정점과 연결된 정점들을 찾는 경우 시간복잡도가 O(차수)로 줄어든다.
    • 그래프 구조가 유동적으로 변경되는 상황이라면, 수정이 훨씬 빠르다.
  • 단점
    • 각 노드간 연결 상태를 확인하는데 O(N)의 시간복잡도를 갖는다.
  • 인접 리스트 생성
Map<Integer, List<Integer>> graph;

public AdjacencyList() {
    graph = new HashMap<>();
}
  • 정점 연결
public void addEdge(int from, int to) {
		//새로 추가되는 정점일 경우
    if (!graph.containsKey(from)) {
        graph.put(from, new ArrayList<>());
    }
		//from 정점과 to 정점을 연결
    graph.get(from).add(to);

		//to 정점이 없는 경우 새로 추가
    if (!graph.containsKey(to)) {
        graph.put(to, new ArrayList<>());
    }
    graph.get(to).add(from); // 무향 그래프인 경우 반대 방향도 추가
}
  • 정점 삭제
public void removeEdge(int from, int to) {
    if (graph.containsKey(from)) {
        graph.get(from).remove(Integer.valueOf(to));
    }
    if (graph.containsKey(to)) {
        graph.get(to).remove(Integer.valueOf(from)); // 무향 그래프인 경우 반대 방향도 제거
    }
}
  • 인접 리스트 출력
public void printGraph() {
    for (Map.Entry<Integer, List<Integer>> entry : graph.entrySet()) {
        System.out.print(entry.getKey() + ": ");
        for (int v : entry.getValue()) {
            System.out.print(v + " ");
        }
        System.out.println();
    }
}

'[Computer Science] > Data Structure' 카테고리의 다른 글

Hash  (0) 2023.04.21
Array / List / ArrayList / LinkedList  (0) 2023.03.16